近日,厦门大学自动化系博士研究生谢柯迪在系统控制领域国际顶级期刊《Automatica》发表题为“Optimal output regulation for unknown continuous-time linear systems by internal model and adaptive dynamic programming”的研究论文。
研究背景
在精确的系统模型无法获得的情况下,如何仅利用数据信息来设计和优化控制策略成为了最优控制领域的一个研究热点。 然而,现存的大部分基于积分强化学习的数据驱动学习算法都面临着数据需求量大和计算复杂度高的问题,限制了其在解决在线控制问题上的应用。本文旨在研发一套基于自适应动态规划的数据驱动学习算法,这对最优控制领域的发展具有重要意义。
研究内容
本文针对动态参数未知的线性连续系统,仅利用系统状态、输入和输出数据,在无需进行系统辨识的情况下,采用数据驱动学习算法估计最优控制策略,同时实现扰动抑制和跟踪控制。
在数据收集过程中,采用任意有界信号来替代内模状态数据,并构造了一个单层滤波结构的增广虚拟系统,实现了在不使用克罗内克积运算的情况下对采样数据进行预处理。
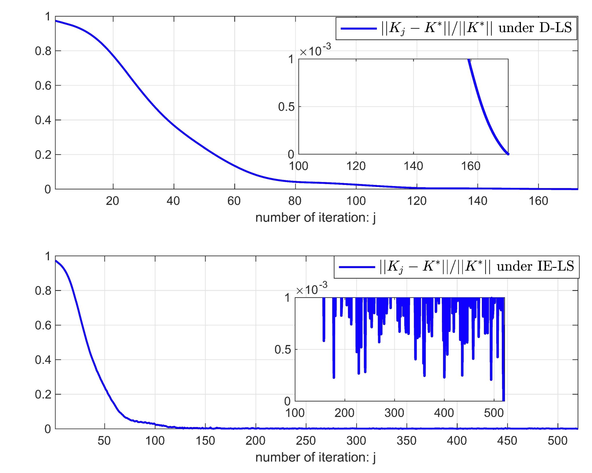
在学习算法设计中,提出了无需“智能”数据存储方案的数据驱动学习算法,从而降低了算法的复杂度以及减少了数据存储的需求。分析表明本文所提出的方法优于前沿的基于数据驱动的最优控制学习算法。

图1. 本研究提出的数据驱动控制系统的结构框图

图2. 算法的收敛性示例
研究相关
该项工作厦门大学自动化系为该文章的第一署名单位和通讯单位。博士研究生谢珂迪为本文第一作者,喻骁副教授和兰维瑶教授为本文的合作作者,其中喻骁为本文通讯作者。研究工作得到了科技创新2030—“新一代人工智能”重大项目(2021ZD0112600),国家自然科学基金项目(61873219、62173283、和61803262)和福建省自然科学基金项目(2021J01051)的资助。
论文链接
https://doi.org/10.1016/j.automatica.2022.110564